
-
生物通官微
陪你抓住生命科技
跳动的脉搏
南非矿区土壤粉尘中放射性核素暴露的癌症风险评估:以自由邦与西兰德为例
【字体: 大 中 小 】 时间:2025年09月05日 来源:Journal of Radiation Research 2
编辑推荐:
本研究针对南非自由邦和西兰德矿区周边居民面临的放射性粉尘暴露风险,通过测定土壤粉尘中238U、232Th和40K等NORM(天然放射性物质)活度浓度,结合γ能谱分析与剂量学模型,评估了终生癌症风险(ELCR)。结果显示矿区吸收剂量率(ADRA)为19-137 nGy h-1,ELCR(4.50×10-4至1.74×10-4)低于全球平均值,为发展中国家矿区辐射防护提供了重要基线数据。
研究背景与意义
在南非西兰德和自由邦矿区,数以万计的居民长期生活在金铀矿尾矿堆附近,这些区域因风力作用产生的含放射性核素粉尘可能通过吸入或摄入途径威胁健康。尽管铀矿开采伴生的天然放射性物质(NORM)如238U和232Th衰变链已被确认为致癌因素,但发展中国家矿区缺乏系统的辐射暴露评估。更严峻的是,南非的矿业遗产多位于人口稠密区,与加拿大、澳大利亚等国的荒漠化矿区形成鲜明对比,这使得当地低收入社区面临独特的环境健康挑战。
研究方法与技术
研究团队于2016-2018年采集三处矿区(A、B、C)及背景区(Welgegund)的土壤和空气粉尘样本,通过γ能谱分析(HPGe探测器)测定214Pb(351.9 keV)、214Bi(609.2 keV)等衰变产物的活度浓度。样本经4周密封达到铀钍衰变链的长期平衡后,采用GENIE 2000软件计算吸收剂量率(ADRA)和终生癌症风险(ELCR)。空气粉尘通过Partisol采样器(10μm滤膜)收集,结合效率校准曲线(公式6-7)进行活度修正。
关键研究结果
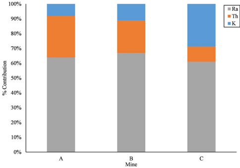
剂量率分布特征
矿区A的ADRA最高(76-137 nGy h-1),显著高于世界均值51 nGy h-1,主要贡献来自238U衰变链(占61-67%)。背景区Welgegund的40K活度(2.98-6.00×10-5 Bq m-3)略高于全球背景值,反映农业活动影响。

癌症风险评估
ELCR计算显示矿区A风险最高(4.50×10-4),但仍低于ICRP建议限值(1.45×10-3)。剂量转换因子(0.7 Sv Gy-1)和70年暴露期模型表明,每万人中新增癌症病例不超过5例。
季节性粉尘变化
背景区10月粉尘浓度峰值(4.65×10-3 mg m-3)与旱季强风相关,证实气象因素对放射性核素扩散的关键作用。
结论与讨论
该研究首次系统量化了南非矿区NORM通过粉尘途径的辐射风险,证实当前暴露水平虽未超过国际安全阈值,但铀矿富集区(如自由邦)需持续监测。方法学上,通过建立衰变平衡修正模型(公式5)和基质差异校正因子(Cf=0.955),提升了γ能谱在复杂基质中的分析精度。成果为制定矿区土地修复策略和居民防护指南提供了数据支撑,尤其对类似资源依赖型发展中国家具有参考价值。
(注:全文数据均源自Dudu VP等发表于《Journal of Radiation Research》的原始研究,未添加非文献依据的推测)
生物通微信公众号
知名企业招聘