
-
生物通官微
陪你抓住生命科技
跳动的脉搏
特发性正常压力脑积水患者盲法步态评估的可靠性及其与临床和患者报告结局的相关性研究
【字体: 大 中 小 】 时间:2025年09月10日 来源:Fluids and Barriers of the CNS 6.2
编辑推荐:
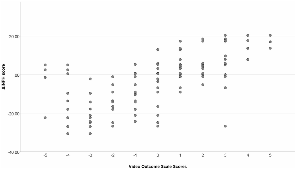
为解决特发性正常压力脑积水(iNPH)术后步态评估易受确认偏倚影响的问题,研究人员通过盲法视频评估39例患者Timed Up and Go(TUG)测试,发现术后步态改善评分与Hellstrom iNPH量表变化呈中度相关(ρ=0.67),证实盲法评估可提高客观性,为iNPH疗效评价提供新方法。
在神经退行性疾病领域,特发性正常压力脑积水(iNPH)犹如一个"隐形的小偷",悄悄夺走老年患者的行走能力。这种以脑室扩大为特征却无明显颅内压升高的疾病,其典型三联征——步态障碍、认知下降和尿失禁中,步态异常往往是最早出现的警报信号。然而临床评估面临两大困境:医生可能被影像学结果左右判断产生确认偏倚;术后疗效评估又容易受"手术理应有效"的主观期待影响。更棘手的是,现有评估工具对细微步态变化的捕捉能力有限,而患者自我感知的康复程度与客观指标常存在"温差"。
为破解这些难题,瑞典乌普萨拉大学的Maria Ekblom团队在《Fluids and Barriers of the CNS》发表创新研究。团队采用前瞻性队列设计,纳入2019-2023年间39例确诊iNPH并行分流术的患者(平均75.5岁)。关键技术包括:双盲视频记录术前术后Timed Up and Go(TUG)测试;4名专业评估者使用Hellstrom量表中的序贯步态量表(1-8级)和自研11级视频结局量表(-5至+5)独立评分;采用Krippendorff's α检验评估者间一致性;通过Spearman's ρ分析步态改善与Hellstrom量表、EQ-VAS评分的相关性。
研究结果部分呈现三大发现:
方法学可靠性验证
盲法视频评估的整体改善评分展现出极佳的评估者间一致性(α=0.80),显著高于具体步态特征评估(α=0.53)。

临床相关性分析
步态改善评分与Hellstrom量表变化呈中度相关(ρ=0.67),但与EQ-VAS仅呈弱相关(ρ=0.37)。这种"临床客观指标-患者主观感受"的差异提示,术后生活质量提升可能还受并发症、社会支持等因素影响,而现有量表未能全面捕捉。
量表应用局限性
序贯步态量表在评估独立行走患者(1-4级)时区分度不足,特别是"宽基步态"与"跌倒倾向"的界限模糊。这解释了为何具体步态特征评估一致性较低,也反映出现有工具对轻度障碍的敏感性不足。
讨论部分深入剖析了这些发现的临床价值。该研究首次系统验证了盲法视频评估在iNPH领域的应用价值,其强一致性(α=0.80)甚至优于既往报道的现场评估信度(k=0.74)。但研究也揭示量表设计的"灵敏度天花板"问题——当患者无需助行器时,现有工具难以区分细微改善。这为未来开发融合运动传感器、深度学习算法的智能评估系统提供了方向。值得注意的是,患者平均等待手术时间达13个月,远超推荐的3个月窗口期,这可能是EQ-VAS改善有限的重要原因,提示医疗系统需要优化iNPH诊疗流程。
这项研究为iNPH疗效评估树立了新标准,证明结构化视频评估可有效减少临床偏倚。其创新之处在于将临床神经学与康复医学方法有机结合,既保留了TUG测试的简便性,又通过盲法设计提升了科学性。未来研究可扩大样本量、延长随访期,并探索多模态评估体系,以更全面反映手术对患者生命质量的影响。
生物通微信公众号
知名企业招聘