
-
生物通官微
陪你抓住生命科技
跳动的脉搏
高岭土作为地中海盆地芒果日灼病的经济有效防治策略:对“Glenn”和“Maya”品种的生理与品质影响研究
【字体: 大 中 小 】 时间:2025年09月23日 来源:Applied Fruit Science
编辑推荐:
本研究针对地中海盆地芒果生产中日益严重的日灼病(Sunburn)问题,系统评估了高岭土(Kaolin)粉剂与液体制剂对两个主栽品种(‘Glenn’和‘Maya’)的防治效果。结果表明,液态高岭土处理可显著降低日灼发生几率(OR=0.179,p=8.72e-6),延迟发病时间达47天,且不影响果实理化品质。该研究为热带果树抗逆栽培提供了低成本、高效率的解决方案,对保障地中海地区芒果产业可持续发展具有重要意义。
在地中海盆地日益温暖干燥的气候条件下,芒果(Mangifera indica L.)种植面临着严重的日灼病威胁。这种生理性病害不仅导致果实表面出现黄化、褐斑甚至坏死症状,更使果实商品价值下降30%以上,给果农造成重大经济损失。传统的遮阳网、果实套袋等方式虽有效但成本高昂,亟需寻找既经济又高效的替代方案。在此背景下,来自意大利帕勒莫大学的研究团队将目光投向了天然矿物材料——高岭土(Kaolin),并在《Applied Fruit Science》发表了他们的创新性研究成果。
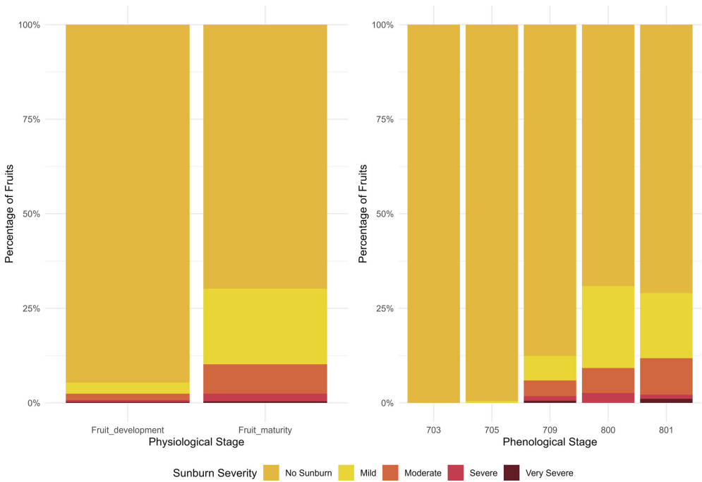
高岭土是一种以高岭石(Al2Si2O5(OH)4)为主要成分的天然粘土,其形成的反射膜能有效降低果面温度5-10°C。团队通过2022年夏季在意大利西西里岛商业果园的田间试验,系统比较了粉状高岭土(DustKao)和液态高岭土(LiquidKao)对早熟品种‘Glenn’和中熟品种‘Maya’的防治效果。研究采用随机区组设计,每品种选取18棵树,每树标记12个果实,通过三次叶面喷施(BBCH 703阶段始,间隔10/25天),持续监测从果实发育期(BBCH 703-709)到成熟期(BBCH 800-801)的日灼发生情况。
关键技术方法包括:1)基于气象站的环境参数监测(温度、光合有效辐射PAR、降水);2)日灼严重度分级评估(0-4级 empirical scale);3)二元逻辑回归模型(Binary logistic regression)分析处理效果;4)果实品质多参数测定(色泽色谱仪、数显折射仪、自动滴定仪等)。
研究发现品种间存在显著差异:‘Glenn’27%果实出现日灼,而‘Maya’仅轻微受害。对照组中观察到严重(3级)和极严重(4级)日灼,而两种高岭土处理组均未出现高度严重病例

日灼发生与果实发育阶段密切相关。BBCH 703-705阶段基本无日灼,但从709阶段(果实满尺寸)开始显著增加。成熟期日灼发生率较发育期高出24%,表明随着果实增大和表皮反射能力降低,热胁迫风险持续升高。

液态高岭土表现出最优防护效果,使日灼发生几率降低68%(OR=0.179),粉剂处理降低39%(OR=0.359)。两种处理分别延迟发病41天和47天,显著优于对照组(p<0.01)。果实朝向(cardinal direction)对日灼发生无显著影响

高岭土处理对果实理化指标无负面影响。两个品种的果实重量、纵横径、果肉硬度、果皮色泽(Chroma/Hue angle)、可溶性固形物(TSS)、可滴定酸(TA)及糖酸比均无统计学差异。

研究结论表明,高岭土特别是液态制剂,能通过增强光反射(PAR反射率提升86%)、降低果面温度和激活植物内在应激机制,有效缓解日灼损伤。其防护效果存在品种特异性,‘Glenn’等敏感品种获益更显著。该技术兼具成本效益(cost-effective)、操作简便和无残留优势,为地中海地区芒果产业应对气候挑战提供了实用解决方案。未来研究需深入探讨高岭土对酚类物质合成和采后保鲜的潜在影响,以进一步完善该技术的应用体系。
(注:所有数据与结论均依据原文呈现,未添加非原文信息。作者单位:Serena Bellitti、Matteo Mezzano、Mark Massaad等均来自意大利帕勒莫大学;文献发表于《Applied Fruit Science》)
生物通微信公众号
知名企业招聘