
-
生物通官微
陪你抓住生命科技
跳动的脉搏
声学除虱技术对鲑鱼与清洁鱼生长及应激生理的后续影响研究
【字体: 大 中 小 】 时间:2025年09月24日 来源:Aquaculture Science and Management
编辑推荐:
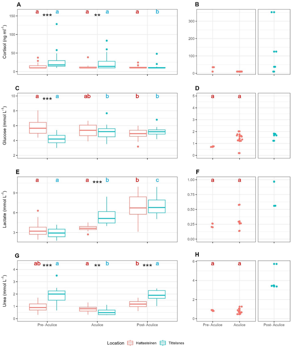
为解决大西洋鲑养殖中鲑鱼虱(Lepeophtheirus salmonis)感染问题,研究人员开展声学除虱系统(AcuLice)对鲑鱼和清洁鱼(如圆鳍鱼Cyclopterus lumpus)生长、应激生理及行为影响的长期研究。结果表明,AcuLice操作未引起鲑鱼或清洁鱼的初级、次级或三级应激反应,且不影响摄食与行为,证明该技术是一种可持续且非侵入性的除虱方法,对水产养殖业具有重要意义。
鲑鱼养殖业面临着一个长期且棘手的挑战——鲑鱼虱(Lepeophtheirus salmonis)的感染。这种寄生虫不仅直接危害鱼类健康,导致皮肤损伤、渗透压失衡甚至死亡,还造成巨大的经济损失,据估计仅挪威养殖业每年因鲑鱼虱导致的损失就占收入的9%。传统防治方法包括化学药物和清洁鱼(如圆鳍鱼Cyclopterus lumpus和隆头鱼Labrus bergylta)的使用,但这些方法存在成本高、处理应激及环境问题。近年来,一种新型声学除虱系统(AcuLice)被开发出来,它利用低频声波(low-frequency sound)去除鲑鱼虱,具有成本低、无需直接处理鱼类的优势。然而,其长期操作对鱼类福利和应激生理的潜在影响尚不明确。为此,研究人员在《Aquaculture Science and Management》上发表了一项后续研究,评估AcuLice系统对大西洋鲑(Salmo salar)和清洁鱼生长、应激反应及行为的影响。
研究采用了现场试验设计,在挪威哈丹格峡湾(Hardangerfjorden)的两个地点进行:Hattasteinen(操作AcuLice系统,以6周为周期运行)和Tittelsnes(作为参考地点,无AcuLice系统)。试验从2023年3月开始,对鲑鱼和清洁鱼进行了多次采样(包括AcuLice操作前、操作中和操作后),监测生长参数(体重、体长、条件因子)、生物计量指数(如肝体指数HSI、心体指数CSI、性体指数GSI)、血浆指标(皮质醇、葡萄糖、乳酸、离子浓度等)以及行为观察。关键方法包括:使用酶联免疫吸附测定(ELISA)测量血浆皮质醇浓度,电位法和比色法分析血浆离子和代谢物,并通过问卷调查记录鱼类行为(游泳模式、摄食和攻击性)。统计分析采用R软件进行线性建模和方差分析(ANOVA),以评估地点和采样时间的影响。
研究结果显示,AcuLice操作未对鲑鱼或清洁鱼的生长产生负面影响。Hattasteinen地点的鲑鱼和圆鳍鱼在AcuLice操作期间和操作后均呈现持续生长模式,而参考地点Tittelsnes的鲑鱼在试验初期表现出食欲减少和生长延迟,但这归因于种群差异(如转移时体型较小)而非AcuLice系统。

未发现可解释为三级(慢性)应激反应的生物计量指数改变。肝体指数(HSI)在夏季末下降,但Hattasteinen地点的鲑鱼HSI在AcuLice操作期间高于Tittelsnes,后者在试验后期才恢复。圆鳍鱼的HSI在AcuLice操作期间增加,表明营养状况良好。心体指数(CSI)在两地鲑鱼中均增加,Tittelsnes地点在AcuLice操作期更高,可能与心脏肥大有关。性体指数(GSI)显示Tittelsnes地点的雄性鲑鱼在试验后期出现早期成熟迹象(GSI阈值0.06),但这归因于种群和环境因素而非AcuLice系统。

AcuLice操作未影响血浆离子浓度。鲑鱼钠离子浓度调节紧密,氯离子和钾离子在Tittelsnes地点较高,但差异在试验后期收敛。二价离子(钙和镁)在Tittelsnes持续增加,而Hattasteinen在AcuLice操作期达到峰值,但所有值均处于海水阶段正常范围。圆鳍鱼的钙和磷浓度在AcuLice操作期增加,表明摄食正常。

皮质醇浓度在Tittelsnes地点较高,但在试验后期正常化,表明该地点鲑鱼面临更多挑战(如转移应激)。葡萄糖和乳酸浓度在两地有差异,但未显示与AcuLice操作直接相关。尿素浓度在Tittelsnes较高,可能与鲑鱼虱引起的皮肤损伤或渗透压调节问题有关。圆鳍鱼未显示任何应激分子变化。

甘油三酯和胆固醇浓度在Hattasteinen地点较高,与更好的摄食和营养状况一致。Tittelsnes地点在试验后期增加,可能与早期成熟相关。圆鳍鱼的甘油三酯在AcuLice操作期增加,支持其良好营养状态。

问卷调查显示,AcuLice操作未引起游泳、摄食或攻击行为的改变。唯一记录的食欲减少事件发生在Hattasteinen地点操作后时期,且短暂且影响范围小,表明与AcuLice系统无关。
研究结论强调,AcuLice系统在6周周期操作下未对大西洋鲑或圆鳍鱼的生理产生负面影响,未观察到初级、次级或三级应激反应,且行为无异常。两地差异主要源于种群和环境因素(如转移大小、水质和成熟趋势),而非AcuLice操作。这表明声学除虱是一种可持续、非侵入性的方法,有助于减少传统除虱处理的需求,提升鱼类福利和养殖效率。然而,研究也指出需进一步评估声学污染对 wider 生态环境(如甲壳类动物)的影响,以确保其广泛应用的安全性。总体而言,这项研究为AcuLice系统在水产养殖中的实践应用提供了坚实的科学依据,推动了绿色养殖技术的发展。
生物通微信公众号
知名企业招聘