
-
生物通官微
陪你抓住生命科技
跳动的脉搏
阴沟肠杆菌复合体物种与ampC基因型对AmpC去抑制突变率的影响及临床意义
【字体: 大 中 小 】 时间:2025年09月26日 来源:BMC Microbiology 4.2
编辑推荐:
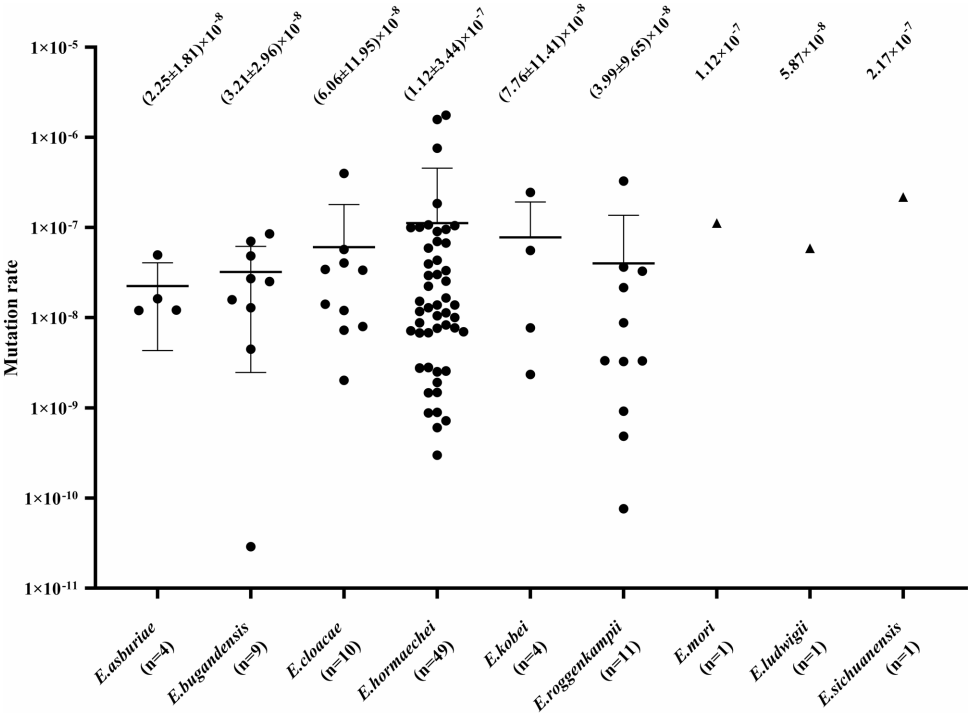
本研究针对阴沟肠杆菌复合体(ECC)在使用三代头孢菌素(3GCs)治疗过程中因ampC去抑制突变导致耐药的问题,通过hsp60分型和PCR技术鉴定物种与ampC基因型,并采用Luria-Delbruck波动分析测定突变率。结果显示ECC各物种和ampC基因型(blaACT、blaMIR、blaCMH)均呈现高突变率(10-8量级),无显著差异,提示3GCs治疗含诱导型AmpC的ECC感染存在高风险,为临床抗生素选择提供重要依据。


生物通微信公众号
知名企业招聘