
-
生物通官微
陪你抓住生命科技
跳动的脉搏
壳聚糖-TPP包封技术对胡萝卜类胡萝卜素氧化降解途径的保护作用及机制研究
【字体: 大 中 小 】 时间:2025年09月27日 来源:Chemical and Biological Technologies in Agriculture 5.2
编辑推荐:
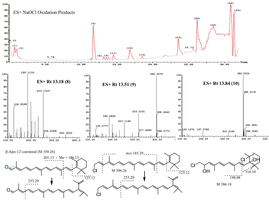
本研究针对活性氧(H2O2和HOCl)诱导的胡萝卜类胡萝卜素氧化降解问题,通过LC-MS/MS首次鉴定出apo-13-carotenone-5,6-epoxide等关键氧化产物,阐明其降解动力学机制,并开发出壳聚糖-TPP包封体系,使类胡萝卜素在300分钟内保持94%以上稳定性,为食品和医药行业提供高效抗氧化保护方案。






生物通微信公众号
知名企业招聘